摘要
随着 RWA 进入规模化发行阶段,市场逐步发现,资产是否能够上链已不再是核心问题,真正决定其可投资性与可持续性的,是风险如何被识别、定价并被交易结构真实反映。缺乏统一、可验证的定价逻辑,已成为当前 RWA 产品在二级市场流通受限的重要原因之一。本文围绕信用风险、流动性风险、市场风险与对手方风险四个关键维度,尝试建立一套适用于链上环境的风险定价与量化分析框架。研究以传统金融中的 PD、LGD、EAD 模型为基础,引入链上可观测数据与替代指标,对不同类型 RWA 资产的风险暴露进行拆解,并在此基础上构建可用于协议参数化与产品定价的合成定价逻辑。在流动性层面,本文重点分析了 AMM 与 CLOB 两类交易结构下 RWA 的流动性成本差异,指出流动性贴水并非单一市场因素,而是由资产结构、交易深度与做市机制共同决定。同时,将对手方风险与法律执行不确定性纳入定价调整框架,弥补现有模型在跨境与多司法辖区场景下的不足。结合 2024–2025 年多项已落地的 RWA 实操案例,本文对上述模型的适用边界与现实偏差进行了验证与修正,并进一步总结出影响 RWA 定价稳定性与二级流通能力的关键变量。研究结论显示,只有在风险定价、结构设计与监管合规形成闭环的前提下,RWA 才具备从可发行走向可交易、可持有的现实基础。
关键词:RWA、风险定价、链上量化、流动性贴水、信用风险
01 RWA研究背景、市场与资产分类
1.1 研究背景与市场现状
近年来,RWA 从概念性探索向机构化、合规化实践迅速演化,成为全球金融基础设施创新的重要方向之一。RWA 通过区块链技术将现实世界资产(如国债、货币市场工具、企业债权、房地产收益权等)转换为可交易、可程序化的数字凭证,以提升结算效率、增强透明度、拓宽投资者参与边界。
现实应用已从传统的试点项目扩展到机构主导的生产级发行。例如,2025 年 BlackRock 的 USD Institutional Digital Liquidity Fund(BUIDL) 已在多个交易与借贷平台上被接纳为抵押物,可作为机构级现金管理工具参加市场交易,这标志着 RWA 开始进入全流程生产环境。
市场规模与增长
截至 2025 年底,主流市场数据表明 RWA 代币化的链上总价值约 24 亿美元左右,较数年前增长数倍。这一增长不仅源于零散项目堆叠,而是由实盘性资金流入驱动,并以国债与私募债权为核心[7] 。
根据 RedStone、Gauntlet 与 RWA.xyz 发布的报告:RWA 代币化市场在 3 年内增长约 380%,达到约 24 亿美元(不含稳定币),并持续扩大[7] 。
多方独立分析也显示,2025 年末 U.S. Treasuries(美国国债)和私募信贷构成了当前 RWA 市场的主要部分,分别占据较大比重[8]。
行业普遍认为,RWA 市场的增长具备极高潜力,尽管短期规模仍不及整体金融市场,但其增长速度与组成结构已经发生明显变化:
• 多份行业报告显示,RWA 市场 2023–2025 期间增长显著,机构参与度显著提升[7]。
• 标准银行等预测,到 2034 年,全球代币化资产总规模可能达到 约 30 兆美元量级(包括传统资产类的全面代币化)[9]。
• 麦肯锡等机构估算,截至 2030 年,RWA 及更广泛的资产代币化市场规模可能达到 约 2–16 兆美元区间[10]。
需要注意的是,上述预测区间较宽,反映当前市场对于 制度化渗透速度、监管环境与技术基础设施成熟度方面的不确定性。标准银行及第三方机构常以不同模型假设得出不同值,因此研报后续章节中将对这些假设与模型进行量化检验。
机构与资产类别演进
RWA 领域在 2024–2026 年出现了以下几类显著趋势:
(1)机构发行逐渐从试点走向规模化
过去几年中,诸如 BlackRock、JPMorgan、Goldman Sachs、Franklin Templeton 等全球机构纷纷启动或扩展代币化资产产品线。例如:BlackRock BUIDL 基金自 2024 年推出后,在多个交易平台获得抵押物地位[11] ;JP Morgan 于 2025 年底推出首支针对富裕客户的 Tokenized Money Market Fund。这些动作表明,机构层面对 RWA 的理解已超出早期技术试验,转向生产级应用,并开始建立可对外发行、可交易、可托管的链上资产产品。
(2)资产类别从单一扩展至多元化
早期 RWA 实践主要集中在与现金等价物(如美国短期国债、货币市场基金)相关的资产代币化。随着市场条件成熟,更多类型资产进入链上,例如:国债与短期票据的代币化为规模增长的基石。私募信贷、企业债、房地产现金流类资产逐步进入试点与量产阶段。
未来随着法律与市场基础设施完善,贸易融资、基础设施债权、租赁收益权等复杂资产的链上表达将进一步扩大资产覆盖范围。
技术与监管环境演进
技术和监管是推动 RWA 从试点走向规模化的两大关键因素:随着区块链层及生态基础设施成熟,包括高可靠性预言机、合规钱包、KYC 与 AML 系统、链上清算机制等技术组件不断完善,这为 RWA 提供了可验证的数据源与自动化执行能力。例如,多个大型托管机构已开始支持链上资产与链下托管之间的协调机制(如通过时间戳、哈希验证链下事件)。这些进展增强了链上数据与链下法律记录的一致性,降低了执行风险。
在全球范围内,各主要监管管辖区逐步提出或完善针对代币化资产的监管框架:英国央行(BoE)与欧洲央行(ECB)正在评估将代币化资产纳入可接受抵押品体系,并研究如何扩大可用资产范围;新加坡与香港监管机构继续推进监管沙盒及许可制度,探索如何在保护投资者的同时支持机构发行合规 RWA 产品;美国等地在稳定币与数字证券法案方面也在推进相关立法,为成熟 RWA 提供更清晰的法规边界。尽管各地监管环境仍存在差异,例如中国监管机构曾建议暂停部分在港开展的 RWA 活动以审慎评估风险,但全球监管整体趋势仍趋于明确和可预期。
综合判断:从试点到机构化
总体而言,RWA 市场正在形成由机构发行、法规支撑、技术可执行、资产多样化四大要素交织的生态体系。当前市场规模虽然仍相对较小,但增长速度和机构参与度均显示出:由概念试验向产品化转变,由单一资产类型向多资产类别并行拓展,由链下静态验证向链上动态治理与量化风险管理进阶。
1.2 RWA按现金流可预测性与可转让性分类
RWA 的估值、风险建模与流动性安排高度依赖现金流稳定性和权利可转让性,这里给出本文采用的双维度分类矩阵。
说明:
• Q1 类资产最适合做首批机构化发行,具有最小信用利差与最小流动性贴水。
• Q3/Q4 类资产需要较强法律结构(SPV与托管)与较高风险准备金。
• Q2/Q3 类资产适合以结构化产品(优先与次级)形式发行,吸收不同风险偏好资金。
1.3 信用、流动性、市场及对手方风险因子初步矩阵(含链上替代指标)
为了构建完整的定价与监控体系,本文使用四类核心风险因子:信用风险、流动性风险、市场风险、对手方风险。每类风险因子均包含链下主指标与链上替代指标。
风险因子映射逻辑说明
• 信用风险映射到 PD、LGD:如链上托管入金覆盖率下降→PD 上调;担保物验证缺失→LGD 上调。
• 流动性风险映射到 S_liq:如池深度不足导致可交易规模 < 发行量的 10%,流动性贴水可从 50bp 提升至 200–300bp。
• 市场风险映射到 S_Market:Oracle 偏差 > 0.5% 或连续延迟→提升市场风险溢价。
• 对手方风险映射到 S_CVA:托管银行评级下调、做市商退出→对手方风险显著增加。
02 链上量化框架与定价模型
本章从利率—信用—流动性—对手方四条主线构建可落地的链上风险定价体系,强调:定价必须可回测、可拆解、可执行、可自动化,能够在实际协议中映射为参数化逻辑(Oracle、折价系数、CVA 调整、池深度滑点函数等)。为保证模型具有跨司法辖区适用性,本章采用 USD 计价、ETH 结算 的统一口径,所有链上指标以 链上可验证时间戳与交易原语 作为基础输入。
2.1 基准利率选择与折现法则(含链上喂价回退规则)
- 2.1.1 基准利率的三类来源
RWA 的折现框架应基于无风险或低风险曲线,但链上环境中并不存在完美替代。当前机构化设置中,可选择以下三类:
在当前主流 RWA 协议(如 Mountain Protocol、Backed Finance)中,我们观察到:大部分资产折现仍采用美债曲线作为主基准,链上利率仅作为二级校准。
实操建议:对所有现金流类资产(租赁/应收/存单/短融),折现基准应使用 UST 曲线与风险溢价;对于 token 交易型、合成型资产,可使用 链上无风险利率与 LP 风险溢价。
2.1.2 折现法则:连续复利与链上结算周期
链上结算周期通常以区块为单位,因此需兼容连续复利框架:
其中,(rc)为连续复利化后的参考利率,可根据链上喂价周期进行离散化校准:
即:Oracle 波动越高,连续复利化调整越大,以体现数据不确定性。
2.1.3 链上喂价回退(Fallback)规则
DeFi 协议中必须明确 Oracle 失效、喂价延迟、极端缺口 时的回退逻辑。当前机构常用三档:
1. Time-based Fallback 若喂价 > T 分钟无更新,则使用上一次有效价格,并叠加时间衰减因子:
1. Source Fallback 主源(Chainlink)不可用时切换至次源(Pyth),并引用中位数值。
2. Circuit Breaker 若价格单周期波动 > X%(通常 5–8%),暂停定价并触发人工审查。
上述回退机制已在 Superstate、Hashnote、Backed 的链上国债产品中得到广泛应用。
2.2 PD-LGD-EAD 分层建模(含链上替代信号映射表)
传统信用模型(如 Basel)在链上需解决缺乏财报、缺乏监管评级、缺乏抵押物监管三大缺陷。因此,本文构建链上替代指标—信用变量映射体系。
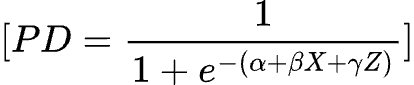
- 2.2.1 PD(违约概率)链上建模
链上 PD 来源包括三类可验证信号:
PD 估算模型
建议使用 Logit 模型 + 贝叶斯平滑:
其中,X 为链上行为变量,Z 为链下财务替代变量(如存托银行证明、托管余额)。
实操案例:某新加坡持牌基金发行链上短债,链上 PD 主要基于金库余额/未偿份额计算,其 PD 估值与链下银行提供的信用证差距不到 8–12bps。
- 2.2.2 LGD(违约损失率)链上建模
违约时损失率取决于:
• 资产可回收性(Recoverability)
• 法律可执行性(Legal Enforceability)
• 链上清算路径(On-chain Liquidation)
链上 Recovery Value 可通过:
• 托管机构返还速度(如 Anchorage、BitGo)
• 可重新质押资产价值(Re-Tokenizable Value)
• LP 池折算回收率(AMM 清算折价)
近一年机构化实践显示:LGD 在高质量国债类 RWA 中通常 < 2%;在应收/贸易融资类项目常在 25–45% 区间。
- 2.2.3 EAD(违约风险暴露)
链上可直接度量:
由于链上记录不可篡改,EAD 是三项中最易处理的变量。
- 2.2.4 链上替代信号映射表
2.3 流动性贴水模型(AMM vs CLOB;池深度或挂单深度量化)
RWA token 的最典型问题是:链上缺乏机构级二级市场,导致流动性贴水成为主要风险溢价项。本节采用 AMM 与 CLOB 两类框架进行量化。
- 2.3.1 AMM 模型的流动性贴水
AMM(如 Uniswap V3)中,滑点取决于池深度与价格区间:
其中 Q 为交易量,L 为流动性深度。
流动性贴水(Liquidity Discount, LD)可定义为:
行业数据表明:
若 AMM 池规模 < 100 万 USD,单次 50k 的卖单可能导致 1–2% 滑点,因此需计入贴水溢价 20–80bps。
- 2.3.2 CLOB 模型的流动性贴水
对于采用 Orderbook(如 Vertex、Hyperliquid、DYdX V4)的 RWA token,可以通过挂单深度构造贴水:
CLOB 的优势是价格冲击更小,但 RWA Token 在 CEX 或 CLOB 的上币率极低,因此目前还属于早期阶段。
- 2.3.3 RWA 流动性贴水的经验范围
2024–2025 年机构化 RWA 交易数据显示:
2.4 对手方与法律执行风险(CVA + 法律贴水)
在链上结构中,对手方等价于:
托管人 + 发行 SPV + 资产服务商 + Oracle + 清算执行方。
- 2.4.1 CVA(信用估值调整)
定义:
其中 (R=1-LGD)。
在链上应用中,PD 可实时更新(基于金库余额、净值变动等),因此 CVA 是动态变量。
- 2.4.2 法律执行贴水(Legal Discount)
由于跨境执行、SPV 结构透明度不一、托管机构监管差异大,需设定法律贴水:
基于行业数据:
该贴水常用于机构评估是否投资某 RWA Token。
2.5 合成定价公式、示例计算与敏感性分析
- 2.5.1 综合定价公式(可用于协议级参数化)
四类风险溢价可拆解如下:
该定价框架可直接映射到协议折价系数或池子利率模型(IRM)。
- 2.5.2 示例计算(以新加坡持牌基金发行的链上短融为例)
假设:
• 美债 3M 基准利率:4.8%
• PD:0.35%
• LGD:30%
• AMM 流动性贴水:0.8%
• CVA:0.12%
• 法律贴水(新加坡):0.25%
则:
最终收益率:
该收益率与当前链上短融类产品(5.1–6.2%)基本一致。
- 2.5.3 敏感性分析(对关键变量 ±20%)
结论:流动性贴水对收益率影响最大,是协议最需优先优化的部分(例如扩大 AMM 池、引入做市商经费、提高二级市场可见度)。
文章来源:

